Volume 9, Issue 2 (Journal of Clinical and Basic Research (JCBR) 2025)                   jcbr 2025, 9(2): 1-8 | Back to browse issues page


XML Print


Download citation:
BibTeX | RIS | EndNote | Medlars | ProCite | Reference Manager | RefWorks
Send citation to:

Medubi O O, Medubi L J, Owolabi B O, Achili A E, Osinubi A A A. Psychological stress impairs spermatogenesis through oxidative DNA damage and xanthine oxidase/uric acid signaling pathways: The role of gut microbiota. jcbr 2025; 9 (2) :1-8
URL: http://jcbr.goums.ac.ir/article-1-502-en.html
1- Department of Physiology, Faculty of Basic Medical Sciences, University of Lagos, Akoka Lagos, Nigeria
2- Department of Anatomy, Faculty of Basic Medical Sciences, University of Lagos, Akoka Lagos, Nigeria
3- Department of Anatomy, Faculty of Basic Medical Sciences, University of Lagos, Akoka Lagos, Nigeria , boluwatife.owolabi@aul.edu.ng
Full-Text [PDF 542 kb]   (617 Downloads)     |   Abstract (HTML)  (1491 Views)
Full-Text:   (342 Views)
  
 Introduction
Spermatogenesis, a process of sperm production that occurs in the testes, lasts for about 70 days of transformation from spermatogonia through primary spermatocytes, secondary spermatocytes, and spermatids to spermatozoa, which mature in the epididymis (1,2). Stress has been linked to many negative health consequences, including impaired fertility (3). The impact of psychological stress on spermatogenesis has been studied in animal models and hs been shown to adversely affect sperm production, motility, and quality (4). Studies have found a connection between psychological stress, increased reactive oxygen species (ROS) production, and increased levels of xanthine oxidase (XO) and uric acid (UA). One potential mechanism by which stress may impair fertility is through oxidative DNA damage (5). Oxidative stress is a condition that results when the amount of ROS generated overwhelms cellular antioxidant capacity, and it is a culprit in the pathogenesis of several testicular diseases, including infertility, testicular cancer, and leydig cell dysfunction (6). Oxidative stress is also thought to cause structural changes in sperm, impairing sperm motility and resulting in decreased fertility (6). Furthermore, ROS produced as a result of psychological stress has been shown to directly affect sperm motility and morphology by decreasing sperm motility and causing abnormal morphology (7). Excessive production of ROS causes damage to cellular components, including DNA, proteins, and lipids, leading to cellular damage (5).
Recent evidence has demonstrated that psychological stress impairs spermatogenesis through oxidative DNA damage involving the XO/UA signaling pathway (8). The XO/UA signaling pathway is involved in the regulation of sperm production and functionality through the activities of the XO enzyme that produces UA (9). Additionally, the activity of XO can also increase due to stress. This increase in UA can damage the sperm cells and lead to infertility (4). Uric acid inhibits the enzyme of nitric oxide (NO) synthase, which is responsible for the production of NO. Thus, the XO/UA pathway is important in regulating free radical generation and preventing oxidative damage. It can also play a key role in mitigating the oxidative damage caused by psychological stress-induced ROS production (9).
Probiotics are live microorganisms that, upon ingestion in sufficient concentrations, can exert health benefits to the host (10). They are intestinal-based dietary bacteria that regulate the local immunity of the gastrointestinal system and thus have a comprehensive effect on metabolic pathways that can activate metabolic pathways and restore cell hemostasis and overall health (10). The presence of probiotics in the gastrointestinal tract affects patterns of gene expression in the human body (11). Therefore, this study aimed to examine the effect of gut microbiota on testicular function during psychological stress.

Methods
Animal care and ethics
This research was conducted following the internationally accepted principles for laboratory animal use and care as found in the US guidelines and the ethics approval was obtained from the Ethics Committee in animal experimentation of the College of Medicine, University of Lagos, Nigeria. Thirty-five sexually matured Sprague Dawley male rats weighing between 130-150 g and a cat were obtained and maintained from the animal holdings of the Department of Anatomy, College of Medicine, University of Lagos, Idi-araba, Lagos State, Nigeria. The animals were kept in plastic cages under standard animal house conditions and fed with grower's marsh obtained from feed mill stores, Mushin, Lagos State.
Preparation of probiotics
The probiotics distributed by CVS Pharmacy were purchased from an online store. The probiotics contain three billion live bacterial cells (Lactobacillus spp, Bifidobacteria) per capsule, each capsule was mixed with 5 ml of normal saline.
Experimental design
Thirty-five adult male rats were equally divided into seven groups, ranging from the control group to the psychological stress (PS) groups and the probiotics (Probio) groups. The groups included the Control, Acute PS, Acute Probio, Acute PS+Probio, Chronic PS, Chronic Probio, Chronic PS+Probio groups. Each group contains five healthy male rats. Acute PS, Acute Probio and Acute PS+Probio groups were subjected to short-term stress and short-term administration of probiotics for seven days while Chronic PS, Chronic Probio, Chronic PS+Probio groups were subjected to long-term stress and long-term administration of probiotics for 14 days. Acute PS group was subjected to stress alone for seven days, Acute Probio group was given 109 colony-forming units (CFUs) of probiotics dispersed in 1 ml of water for seven days, Acute PS+Probio group was given 109 CFUs of probiotics dispersed in 1 ml water and also subjected to stress for complete seven days, Chronic PS group was subjected to stress alone for 14 days, Chronic Probio group was given 109 CFUs of probiotics dispersed in 1 ml of water for 14 days, Chronic PS+Probio group was given 109 CFUs of probiotics dispersed in 1ml of water and was also subjected to stress for 14 days.
Probiotics were administered orally while psychological stress was induced through the cat sounds for one hour every day. The rats were sacrificed a few hours after the final administration of probiotics and stress subjection. The samples were taken from each rat immediately thereafter.
Laboratory procedures and sample collections
At the end of the administration, the rats were weighed and sacrificed by cervical dislocation and blood samples were collected via cardiac puncture into standard bottles. The scrotal sac was opened to expose the testes and epididymis. The right testes and epididymis were fixed in Bouin’s fluid and used for biochemical assays and analysis of sperm parameters.
Biochemical assay
Testosterone hormone level was measured with ELISA kits according to the manufacturer's instructions (BioVision, San Francisco, USA). Other hormones such as corticosterone, estradiol, follicle-stimulating hormone (FSH), and luteinizing hormone (LH) were measured using ELISA kits, E lab Science Wuhan China according to the manufacturer’s instructions. The oxidative stress level was determined by measuring Malondialdehyde (MDA), Superoxide dismutase (SOD), Catalase (CAT), and Glutathione (GSH) concentrations. The method of Konings and Drijver (12) was used to quantify lipid peroxidation, while SOD activity was measured as previously described by Fridovich and Misra (13). Catalase activity was estimated as previously reported by Aebi (14) and the levels of GSH were determined by the procedure given by Moron et al. (15). Further biochemical analyses such as testicular zinc level, tumor necrosis factor-alpha (TNF-α), interleukin-1-beta (IL-1β), XO/UA, DNA fragmentation, and glucose 6 phosphate dehydrogenase (G6PD) concentrations were determined using ELISA kits, E lab Science Wuhan China following the manufacturer’s instructions.
Statistical analysis
The data were analyzed and expressed as mean ± standard error of mean (SEM) using the IBM SPSS version 23. Data were analyzed using one-way ANOVA and student Newman-Keuls post hoc test for multiple comparisons at p <0.05.

Results
Probiotics had no significant effect on stress reactivity
Corticosterone levels significantly increased in Acute PS and Acute PS+Probio compared to all other groups (Figure 1). However, exposure of Chronic PS to probiotics showed no statistically significant difference in corticosterone levels compared to the Control and Chronic PS groups.


Figure 1. Corticosterone levels following exposure to psychological stress and probiotics administration. a. indicates a statistically significant difference (P <0.05) from the Control group, b. indicates a statistically significant difference (P <0.05) from the Acute Probio group, d. indicates a statistically significant difference (P <0.05) from the Chronic PS group, e. indicates a statistically significant difference (P <0.05) from the Chronic Probio group, while f. indicates a statistically significant difference (P <0.05) from the Chronic PS+Probio group. PS = Psychological Stress, Probio= Probiotics, and Cort = Corticosterone.
Probiotics mitigated hormonal perturbation during psychological stress
As shown in Figure 2, FSH and LH concentrations decreased significantly in Acute PS, and by day 14, FSH significantly increased, while LH remained significantly constant compared to the Control and Probio groups. However, treatment with probiotics increased FSH and LH levels in the Acute PS+Probio and Chronic PS+Probio groups. Also, s/TT and t/TT significantly decreased in Acute PS, and they remained significantly lowered in Chronic PS. Treatment with probiotics produced a statistically insignificant difference in s/TT and t/TT levels in Acute PS+Probio; however, were significantly elevated in Chronic PS+Probio group compared to Chronic PS group. Furthermore, s/E2 and t/E2 remained significantly high in Acute PS and Chronic PS compared to other groups and decreased insignificantly with probiotics administration.
Probiotics administration reduced oxidative stress and testicular Zinc levels
MDA levels significantly increased in Acute PS compared to all other groups and rose more significantly in Chronic PS compared to Chronic Probio and Chronic PS+Probio groups (Figure 3). However, probiotics administration significantly lowered MDA levels in Chronic PS+Probio. The activities of SOD, GSH, and t/Zn were significantly lower in Acute PS, Acute PS+Probio, and Chronic PS compared to other groups, whereas SOD, GSH, and t/Zn increased in Chronic PS+Probio compared to PS only groups following treatment with probiotics. Furthermore, CAT activity was significantly reduced in Acute PS and Chronic PS compared to all other groups except Acute PS+Probio and probiotics administration significantly increased CAT activity in Chronic PS+Probio. Moreover, the s/Zn level reduced significantly in Acute PS and Chronic PS compared to the Control and probio groups, and with probiotics treatment, no statistically significant difference was observed in Acute PS+Probio and Chronic PS+Probio compared to the PS groups.
Stress-induced increased testicular expression of pro-inflammation agents attenuated by probiotics
Figure 4 shows a significant increase in TNF-α and IL-1β levels in the Acute PS group compared to other groups. However, with probiotics administration in Acute PS+Probio, TNF-α and IL-1β significantly decreased compared to Chronic PS, Chronic Probio, and Chronic PS+Probio groups. TNF-α was significantly higher in Chronic PS compared to Chronic Probio, and IL-1β increased significantly compared to other groups. However, treatment with probiotics significantly reduced TNF-α and IL-1β levels in Chronic PS+Probio.

Figure 2. Reproductive hormone levels following exposure to psychological stress and probiotics administration. a. indicates a statistically significant difference (P <0.05) from the Control, b. indicates a statistically significant difference (P <0.05)  from the Acute Probio group, c. indicates a statistically significant difference (P <0.05) from the Acute PS+Probio group, d. indicates a statistically significant difference (P <0.05) from the Chronic PS group, e. indicates a statistically significant difference (P <0.05) from the Chronic Probio group, while f. indicates a statistically significant difference (P <0.05) from the Chronic PS+Probio group. PS = Psychological Stress, Probio= Probiotics, FSH= Follicle-Stimulating Hormone, LH= Luteinizing Hormone, s/TT = serum Testosterone, t/Zn= testicular testosterone, s/E2= serum Estradiol, and t/E2= testicular Estradiol.


Figure 3. Redox status and zinc levels following exposure to psychological stress and probiotics administration. a. indicates a statistically significant difference (P <0.05) from the Control group, b. indicates a statistically significant difference (P <0.05)  from the Acute Probio group, c. indicates a statistically significant difference (P <0.05) from the Acute PS+Probio group, d. indicates a statistically significant difference (P <0.05) from the Chronic PS group, e. indicates a statistically significant difference (P <0.05) from the Chronic Probio group, while f. indicates a statistically significant difference (P <0.05) from the Chronic PS+Probio group. PS = Psychological Stress, Probio= Probiotics, MDA= Malondialdehyde, SOD= Superoxide Dismutase, GSH= reduced Glutathione, s/Zn = serum Zinc, and t/Zn= testicular Zinc.
Stabilization of XO/UA signaling by probiotics during psychological stress
Following PS, XO activity significantly increased in Acute PS and Chronic PS compared to every other group except for Chronic PS+Probio; however, treatment with probiotics significantly reduced XO activity (Figure 5). The reverse was observed in UA levels which significantly decreased in Acute PS and Chronic PS compared to Control and Probio only groups; however, significantly increased in Acute PS+Probio and Chronic PS+Probio group following probiotics administration.
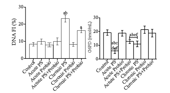
Probiotics mitigate sperm DNA fragmentation and improve testicular use of the pentophosphate pathway during stress exposure
As shown in Figure 6, sperm DNA fragmentation significantly increased in the Chronic PS group compared to the Control and Acute Probio groups; however, treatment with probiotics reduced DNA fragmentation in Chronic PS+Probio compared to Chronic PS. Furthermore, DNA fragmentation remained statistically insignificant in the Acute PS and Acute PS+Probio compared to the Control group. Exposure to PS significantly decreased testicular G6PD in Acute PS compared to other groups. However, treatment with probiotics increased G6PD activity in Acute PS+Probio and Chronic PS+Probio groups compared to Acute PS and Chronic PS groups, respectively.
Probiotics promote sperm production during psychological stress
In Figure 7, daily sperm production (DSP) statistically significantly decreased in Chronic PS compared to other groups, while treatment with probiotics insignificantly elevated sperm production in Chronic PS+Probio. However, DSP in Acute PS, Acute PS+Probio, Acute Probio, and Control groups were insignificantly different from each other.
Probiotics improve sperm parameters during stress exposure
The exposure to PS statistically significantly reduced sperm concentration in Acute PS, Chronic PS, and Acute PS+Probio compared to all other groups except Chronic PS+Probio (Figure 8). However, following treatment with probiotics, sperm concentration increased insignificantly in Chronic PS+Probio compared to Chronic PS. Progressive motility (PM) rate decreased significantly in Acute PS and Chronic PS groups compared to other groups, whereas the reverse was observed in the non-progressive motility (NPM) rate. However, treatment with Probiotics increased the percentage of PM and decreased NPM in Acute PS+Probio group and Chronic PS+Probio group, respectively. Also, sperm immotile rate increased significantly in Acute PS and Chronic PS groups compared to other groups; however, the immotile rate was significantly reduced in Acute PS+Probio and Chronic PS+Probio group compared to the Control, Chronic PS, and Chronic Probio groups following probiotics administration.

Figure 4. Inflammatory markers levels following exposure to psychological stress and probiotics administration. a. indicates a statistically significant difference (P <0.05) from the Control, b. indicates a statistically significant difference (P <0.05)  from the Acute Probio, c. indicates a statistically significant difference (P <0.05) from the Acute PS+Probio, d. indicates a statistically significant difference (P <0.05) from the Chronic PS, e. indicates a statistically significant difference (P <0.05) from the Chronic Probio, while f. indicates a statistically significant difference (P <0.05) from the Chronic PS+Probio. PS = Psychological Stress, Probio= Probiotics, TNF-α= Tumor Necrotic Factor alpha, and IL-1β= Interleukin-1 beta.


Figure 5. XO and UA levels following exposure to psychological stress and probiotics administration. a. indicates a statistically significant difference (P <0.05) from the Control, b. indicates a statistically significant difference (P <0.05) from the Acute Probio, c. indicates a statistically significant difference (P <0.05) from the Acute PS+Probio, d. indicates a statistically significant difference (P <0.05) from the Chronic PS, e. indicates a statistically significant difference (P <0.05) from the Chronic Probio. In contrast, f. indicates a statistically significant difference (P <0.05) from the Chronic PS+Probio. PS = Psychological Stress, Probio = Probiotics, XO = Xanthine Oxidase, and UA = Uric Acid.

Figure 6. DNA Fragmentation and levels of activity of G6PD following exposure to psychological stress and probiotics administration. a. indicates a statistically significant difference (P<0.05) from the Control, b. indicates a statistically significant difference (P <0.05) from the Acute Probio, c. indicates a statistically significant difference (P <0.05) from the Acute PS+Probio, d. indicates a statistically significant difference (P <0.05) from the Chronic PS, e. indicates a statistically significant difference (P <0.05) from the Chronic Probio. In contrast, f. indicates a statistically significant difference (P <0.05) from the Chronic PS+Probio. PS = Psychological Stress, Probio= Probiotics, DNA F1= DNA Fragmentation Index, G6PD= Glucose 6 Phosphate Dehydrogenase.


Figure 7. Sperm production following exposure to psychological stress and probiotics administration. a. indicates a statistically significant difference (P <0.05) from the Control group, b. indicates a statistically significant difference (P <0.05)  from the Acute Probio group, c. indicates a statistically significant difference (P <0.05) from the Acute PS+Probio group, e. indicates a statistically significant difference (P <0.05) from the Chronic Probio group, f. indicates a statistically significant difference (P <0.05) from the Chronic PS+Probio group, while g. indicates a statistically significant difference (P <0.05) from the Chronic PS group. PS = Psychological Stress, Probio= Probiotics, DSP= Daily Sperm Production.


Figure 8. Epididymal sperm parameters following exposure to psychological stress and probiotics administration. a. indicates a statistically significant difference (P <0.05) from the Control, b. indicates a statistically significant difference (P <0.05)  from the Acute Probio group, c. indicates a statistically significant difference (P <0.05) from the Acute PS+Probio group, d. indicates a statistically significant difference (P <0.05) from the Chronic PS group, e. indicates a statistically significant difference (P <0.05) from the Chronic Probio group, while f. indicates a statistically significant difference (P <0.05) from the Chronic PS+Probio group. PS = Psychological Stress, Probio= Probiotics, Sperm conc.= Sperm concentration, PM= Progressive Motility, NPM= Non-Progressive Motility.

Discussion
In the present study, psychological stress significantly elevates corticosterone levels in the Acute PS group, suggesting that stress was actually induced through the paradigm used. This finding agrees with the work of Fatemeh Rostamkhani who discovered an immediate significant increase in plasma corticosterone following a day exposure to stress (16). In contrast, with chronic exposure to stress, plasma corticosterone levels decreased and remained at the same level following administration of probiotics.
Psychological stress activates the hypothalamic-pituitary-adrenal (HPA) axis, resulting in excessive production and release of corticotropin-releasing hormone (CRH), Adrenocorticotropic hormone (ACTH), and beta-endorphin (β-EP) (17). The increased β-EP secretion inhibits Gonadotropin-Releasing Hormone (GnRH) secretion by the hypothalamus, which in turn reduces FSH and LH secretion by the pituitary gland (17). The action of LH on the LCs to generate intratesticular T is essential for spermatogenesis. The decrease in LH secretion then inhibits T secretion by LCs, thereby impairing spermatogenesis (17). This explains the results from the present study, where decreases in FSH and LH levels were observed in the Acute and Chronic PS groups. Nevertheless, probiotics administration mitigates this effect by boosting FSH and LH production, as seen in the groups treated with probiotics. 
The current investigation shows a decrease in testosterone levels in PS groups compared to Control and probiotics groups, which agrees with the findings of Dong (18) that both acute and chronic stress cause an increase in glucocorticoid levels, which precedes a decrease in testosterone levels in males. Chronic stress increases glucocorticoid levels, thereby suppressing the release of gonadotropins and acting directly on Leydig cell receptors, inhibiting testosterone biosynthesis (19). This may explain the low levels of the male sex hormone in the Chronic PS rats and the recovery of the s/TT and t/TT levels in the Chronic PS+Probio group where testosterone biosynthesis was improved following treatment with probiotics.
The findings of the current study demonstrate an elevation in XO activity secondary to psychological stress exposure which generally agrees with a previous report by Maimaiti et al. (20). Xanthine oxidase, the flavin-containing enzyme, critical to the catabolic conversion of purines to UA, is a known professional ROS generator as its catabolic action on purines necessarily results in the oxidation of NADH to form O2− and H2O2 (20). Increased XO activity has been linked to de novo germ cell apoptosis in certain conditions, whereas inhibitors of the enzyme significantly reduced germ cell apoptosis (20). The findings of the present study indicate that feeding rats with probiotics influences XO activity and UA levels during exposure to psychological stress. Importantly, although XO activity increased during stress, UA concentration decreased, suggesting an inverse relationship between these two molecules in the signaling pathway. However, groups treated with probiotics show a significant increase in UA levels, which is in agreement with Tong et al. (21) who reported that probiotics have a positive impact on the UA signaling pathway by modulating gut microbiota, thereby reducing inflammation and providing antioxidant support (21). In the present study, increased XO activity directly corresponds to reduced DSP and increased sperm DNA fragmentation. This particular observation possibly resulted from the increased ROS generation associated with XO catabolic action on purines. As mentioned, UA was reduced in the stressed group which suggested the use of the molecule in ROS-scavenging activities.
A healthy amount of UA is required for normal sperm function as both low and higher levels of UA have been associated with poor sperm parameters and function across many species (9,22,23). Earlier studies have reported the ability of UA to scavenge •OH and O2•- radicals and consequently offer protection against lipid peroxidation and oxidative DNA damage (24). Furthermore, sperm cells produce small amounts of superoxide ion (O2•-) and NO, two compounds that react in a fast, irreversible and exothermic manner to produce peroxynitrite (ONOO-), a strong oxidizing and/or nitrating agent (25,26). Uric acid is identified as the most effective scavenger of ONOO- in spermatozoa, enhancing sperm function, and consequently fertilizing potential (27). The reduced UA observed in the stress group suggests a state of oxidative stress secondary to the depletion of UA in free radical scavenging activities. 
Exposure to psychological stress for a longer period causes DNA fragmentation or damage, as observed in the current study, and this event can be linked to an increase in ROS, which in turn increases oxidative stress, as revealed by Liu et al (28). However, treatment with probiotics substantially prevents the loss, and this may be the result of improved gut health and the ability of the gut microbiome, which enhances nutrient absorption and promotes optimal hormonal regulation, which benefits sperm quality indirectly. According to previous literature, DNA damage impaired spermatogenesis, thereby affecting sperm production (8). This agrees with the current study, which shows decreased sperm production following exposure to chronic psychological stress. However, treatment with probiotics improved daily sperm production in the Chronic PS+Probio group. Furthermore, sperm concentration and motility improved, suggesting that a probiotic-based supplementation approach may be useful in designing an effective therapeutic regimen for stress-induced male reproductive dysfunction. This observation concurs with previous reports that psychological stress causes a decrease in sperm count, sperm motility, and sperm viability (4).
Oxidative stress has been discovered to be a major cause of high levels of lipid peroxidation and DNA damage (5), which explains why MDA concentration significantly increased in Acute and Chronic PS groups in the present study. This finding agrees with Chao who reported that MDA was highly accumulated in the seminal plasma of infertile patients (29). However, this effect was mitigated with probiotics administration by the decrease in MDA level observed in the chronic PS+Probio group. To counteract the harmful effects of oxidative stress, some strategies like prevention of damage, repair mechanisms to alleviate oxidative damage, physical protection mechanisms against damage, and, most importantly, antioxidant defense mechanisms are present in testes (30). Semen antioxidant defenses include a network of compartmentalized antioxidant molecules such as CAT, SOD, and GSH that are usually distributed within the spermatozoa and seminal plasma (29). CAT and other antioxidants aid in removing free radicals and the present investigation observed a significant decrease in CAT levels in the Acute and chronic PS groups. Similar observation was recorded for SOD and GSH levels where a significant decrease was observed in groups exposed to psychological stress. Decline in these antioxidants levels might have resulted from excessive production of free radicals and this agrees with the work of Chao who reported that the activities of SOD, CAT, and GSH remarkably decreased in infertile patients as a result of increased reactive oxygen species (29). Treatment with probiotics initially showed no effect on SOD, CAT, and GSH levels, as observed in the Acute PS+Probio group, but increased levels of these parameters were observed in the Chronic PS+Probio group suggesting the therapeutic effect of probiotics.
The current study shows significantly reduced levels of s/Zn and t/Zn in the Acute PS and Chronic PS groups compared to Control and the Probio only groups. This result agrees with the findings of Medubi et al. who reported significantly lower testicular zinc levels in rats subjected to PS (31). However, following administration of probiotics, Zinc concentration remained unchanged irrespective of whether they were treated for 7 or 14 days. 

Conclusion
In summary, our study reveals that probiotics supplementation can mitigate deleterious effects of oxidative DNA damage, disrupted XO/UA signaling pathway, and impaired spermatogenesis caused by psychological stress in the male reproductive system, thereby improving male fertility.

Acknowledgement
Not applicable.

Funding sources
This study was conducted without institutional or university funding.

Ethical statement
The Health Research and Ethics Committee at the College of Medicine, University of Lagos, Idi-Araba, Lagos, Nigeria, approved this study. This research was conducted in strict compliance with the internationally accepted practices of laboratory animal use and care and approved by the Institution Research Ethics Committee (CMUL/ACUREC/01/15/1097) of the College of Medicine, University of Lagos, Idi-Araba, Lagos, Nigeria.

Conflicts of interest
The authors have no conflict of interest to declare.

Author contributions
OOM and LJM designed the study, collected, analyzed, and interpreted data, and drafted the manuscript. BOO and CA collected, interpret data, and drafted the manuscript. AAAO designed the study and drafted the manuscript.

Data availability statement
The authors confirm that the data supporting the findings of this study are included in the article.

  
 
Article Type: Research | Subject: Basic medical sciences

References
1. Zhao GQ, Garbers DL. Male germ cell specification and differentiation. Dev Cell . 2002;2(5):537-47. [View at Publisher] [DOI] [PMID] [Google Scholar]
2. Turner Tt. De graaf's thread: the human epididymis.J Androl.2008;29(3):237-50. [View at Publisher] [DOI] [PMID] [Google Scholar]
3. Palomba S, Daolio J, Romeo S, Battaglia FA, Marci R, La Sala GB. Lifestyle and fertility: the influence of stress and quality of life on female fertility. Reprod Biol Endocrinol.2018;16(1):113. [View at Publisher] [DOI] [PMID] [Google Scholar]
4. Ilacqua A, Izzo G, Emerenziani GP, Baldari C, Aversa A. Lifestyle and fertility: the influence of stress and quality of life on male fertility. Reprod Biol Endocrinol . 2018;16(1):115 [View at Publisher] [DOI] [PMID] [Google Scholar]
5. Aitken RJ, Baker MA. The role of genetics and oxidative stress in the etiology of male infertility - a unifying hypothesis?Front Endocrinol (Lausanne) 2020;11:581838. [View at Publisher] [DOI] [PMID] [Google Scholar]
6. Griswold MD. the commitment to meiosis. Physiol Rev. 2016;96(1):1-17. [View at Publisher] [DOI] [PMID] [Google Scholar]
7. Kurkowska W, Bogacz A, Janiszewska M, Gabrys E, Tiszler M, Bellanti F,et Oxidative Stress is Associated with Reduced Sperm Motility in Normal Semen.Am J Mens Health. 2020;14(5):1557988320939731. [View at Publisher] [DOI] [PMID] [Google Scholar]
8. Aitken RJ, Drevet JR. The importance of oxidative stress in determining the functionality of mammalian spermatozoa: A Two-Edged Sword.Antioxidants (Basel). 2020;9(2):111. [View at Publisher] [DOI] [PMID] [Google Scholar]
9. Banihani SA. Role of uric acid in semen. Biomolecules. 2018;8(3):65. [View at Publisher] [DOI] [PMID] [Google Scholar]
10. Rosenberg HF, Masterson JC, Furuta GT. Eosinophils, probiotics, and the microbiome. J Leukoc Biol. 2016;100(5):881-8. [View at Publisher] [DOI] [PMID] [Google Scholar]
11. Baarlen PV, Troosta F, van der Meer C, Hooivelda G, Boekschotena M, Brummera RJM, et al. Human mucosal in vivo transcriptome responses to three lactobacilli indicate how probiotics may modulate human cellular pathways. Proc Natl Acad Sci U S A. 2011;108(Suppl 1):4562-9. [View at Publisher] [DOI] [PMID] [Google Scholar]
12. Konings AW, Drijver EB. Radiation effects on membranes; vitamin E deficiency and lipid peroxidation. Radiat Res. 1979;80(3):494-501. [View at Publisher] [DOI] [PMID] [Google Scholar]
13. Misra HP, Fridovich I. The role of superoxide anion in the autooxidation of epinephrine and a simple assay for superoxide dismutase. J Biol Chem. 1972;247(10):3170-5. [View at Publisher] [DOI] [PMID] [Google Scholar]
14. Aebi H. Catalase in vitro. Methods Enzymol. 1984;105:121-6. [View at Publisher] [DOI] [PMID] [Google Scholar]
15. Moron MS, Depierre JW, Mannervik B. Levels of glutathione, glutathione reductase and glutathione S-transferase activities in rat lung and liver. Biochim Biophys Acta. 1979;582(1):67-78. [View at Publisher] [DOI] [PMID] [Google Scholar]
16. Rostamkhani F, Zardooz H, Zahedias S, Farrokhi B. Comparison of the effects of acute and chronic psychological stress on metabolic features in rats. J Zhejiang Univ Sci B. 2012;13(11):904-12 [View at Publisher] [DOI] [PMID] [Google Scholar]
17. Xiong X, Zhang L, Fan M, Han L, Wu Q , Liu S, et al. β-Endorphin induction by psychological stress promotes leydig cell apoptosis through p38 MAPK pathway in male rats. Cells. 2019;8(10):1265. [View at Publisher] [DOI] [PMID] [Google Scholar]
18. Dong Q, Salva A, Sottas CM, Niu E, Holmes M, Hardy MP. Rapid glucocorticoid mediation of suppressed testosterone biosynthesis in male mice subjected to immobilization stress. J Androl. 2004;25(6):973-81. [View at Publisher] [DOI] [PMID] [Google Scholar]
19. Ribeiro CT, De Souza DB, Costa WS, Sampaio FJ, Pereira Sampaio MA. Immediate and late effects of chronic stress in the testes of prepubertal and adult rats. Asian J Androl. 2018;20(4):385-90. [View at Publisher] [DOI] [PMID] [Google Scholar]
20. Maimaiti Y, Aikebaier A, Maimaitiaili A, Wubulikasimu W, Li YL, Aziguli A, et al. Effects of psychological stress on xanthine oxidase expression, activity and related markers in adipose tissue of mice. Zhongguo Ying Yong Sheng Li Xue Za Zhi . 2019;35(6):537-42. [View at Publisher] [DOI] [PMID] [Google Scholar]
21. Tong S, Zhang P, Cheng Q, Chen M, Chen X, Wang Z, et al. The role of gut microbiota in gout: Is gut microbiota a potential target for gout treatment. Front Cell Infect Microbiol. 2022;12:1051682. [View at Publisher] [DOI] [PMID] [Google Scholar]
22. Lahnsteiner F, Mansour N, Plaetzer K. Antioxidant systems of brown trout (Salmo trutta f. fario) semen. Anim Reprod Sci. 2010;119(3-4):314-21. [View at Publisher] [DOI] [PMID] [Google Scholar]
23. Ma J, Han R, Cui T, Yang C, Wang S. Effects of high serum uric acid levels on oxidative stress levels and semen parameters in male infertile patients. Medicine (Baltimore). 2022;101(3):e28442 [View at Publisher] [DOI] [PMID] [Google Scholar]
24. Stinefelt B, Leonard SS, Blemings KP, Shi X, Klandorf H. Free radical scavenging, DNA protection, and inhibition of lipid peroxidation mediated by uric acid. Ann Clin Lab Sci. 2005;35(1):37-45. [View at Publisher] [PMID] [Google Scholar]
25. Kamat JP. Peroxynitrite: A potent oxidizing and nitrating agent. Indian J Exp Biol. 2006;44(6):436-47. [View at Publisher] [PMID] [Google Scholar]
26. Uribe P, Boguen R, Treulen F, Sanchez R, Villegas JV. Peroxynitrite-mediated nitrosative stress decreases motility and mitochondrial membrane potential in human spermatozoa. Mol Hum Reprod. 2015;21(3):237-43. [View at Publisher] [DOI] [PMID] [Google Scholar]
27. Aitken RJ, Ryan AL, Baker MA, McLaughlin EA. Redox activity associated with the maturation and capacitation of mammalian spermatozoa. Free Radic Biol Med. 2004;36(8):994-1010. [View at Publisher] [DOI] [PMID] [Google Scholar]
28. Liu KS, Mao XD, Pan F, An RF. Effect and mechanisms of reproductive tract infection on oxidative stress parameters, sperm DNA fragmentation, and semen quality in infertile males. Reprod Biol Endocrinol. 2021;19(1):97. [View at Publisher] [DOI] [PMID] [Google Scholar]
29. Huang C, Cao X, Pang D, Li C, Luo Q, Zou Y, et al. Is male infertility associated with increased oxidative stress in seminal plasma? A-meta analysis. Oncotarget. 2018;9(36):24494-513. [View at Publisher] [DOI] [PMID] [Google Scholar]
30. Aitken RJ, Roman SD. Antioxidant systems and oxidative stress in the testes. Oxid Med Cell Longev. 2008:1(1):15-24. [View at Publisher] [DOI] [PMID] [Google Scholar]
31. Medubi LJ, Akinola OB, Oyewopo AO. Low testicular zinc level, p53 expression and impairment of sertoli cell phagocytosis of residual bodies in rat subjected to psychological stress. Andrologia. 2021;53(3):e13958. [View at Publisher] [DOI] [PMID] [Google Scholar]

Add your comments about this article : Your username or Email:
CAPTCHA

Send email to the article author


Rights and permissions
Creative Commons License This work is licensed under a Creative Commons Attribution-NonCommercial 4.0 International License.